¿ËÈÕ£¬£¬£¬£¬£¬£¬ÓÉÕã½´óѧת»¯Ò½Ñ§Ñо¿Ôº¡¢Õã½´óѧҽѧԺÁ¥ÊôµÚÒ»Ò½Ôº¡¢Õã½´óѧҽѧԺÁ¥ÊôµÚ¶þÒ½Ôº¡¢Õã½´óѧҽѧԺÁ¥ÊôÉÛÒÝ·òÒ½Ôº¡¢Õã½Ê¡ÈËÃñÒ½Ôº¡¢½ð»ªÊÐÖÐÐÄÒ½ÔººÍ2121·Ç·²Ñ¬È¾¼²²¡Õï¶ÏÖÐÐÄÅäºÏ¼ÓÈëµÄÒ»Ïî¹ØÓÚ·ÎÑײ¡Ô¾úÖêˮƽ¾«×¼·ÖÐ͵ÄÑо¿£¬£¬£¬£¬£¬£¬½ÒÏþÓÚ¡¶Journal of Translational Medicine¡·£¨IF£º7.5£¬£¬£¬£¬£¬£¬Q1£©¡£¡£¡£¡£¡£¡£
¸ÃÑо¿ÏµÍ³ÐÔ±ÈÕÕÁ˺ê»ùÒò×é¶þ´ú²âÐò£¨mNGS£©¡¢×÷Óý·¨¼°»ùÓÚÄÉÃ׿×ÊÖÒյĺê»ùÒò×éÈý´ú²âÐò£¨mTGS£©£¬£¬£¬£¬£¬£¬ÔÚ·ÎÑ×»¼Õß²¡ÔÌå¾úÖêË®ÖзÖÐÍÖеÄÐÔÄÜ¡£¡£¡£¡£¡£¡£Ñо¿Åú×¢£¬£¬£¬£¬£¬£¬mNGSÔÚ¿Ë¡¸´ºÏÌ壨CC£©Ë®Æ½µÄ·ÖÐÍЧ¹û£¬£¬£¬£¬£¬£¬Óë×÷Óý¾úÖêÈ«»ùÒò×é²âÐò£¨WGS£©Ð§¹ûÍêȫһÖ£¬£¬£¬£¬£¬£¬ÇÒÏà±ÈmTGS¾ßÓиü¸ßµÄ·ÖÐÍ׼ȷÐÔºÍϸÃܶȣ»£»£»£»£»Ã÷È·ÁËmNGSÊÇÄ¿½ñÁÙ´²Êµ¼ùÖиüÊÊÅäµÄ¾úÖê·ÖÐ͹¤¾ß£¬£¬£¬£¬£¬£¬ËüÍ»ÆÆÁ˹Űå×÷Óý·¨ÎÞ·¨¼ì²â×÷ÓýÒõÐÔÑù±¾¡¢mTGS·ÖÐ;«¶Èȱ·¦µÄ¾ÖÏÞ£¬£¬£¬£¬£¬£¬Õ¹ÏֵľúÖêˮƽ¹²Ñ¬È¾¸ß±¬·¢Âʼ°²î±ðCCµÄÄÍÒ©/¶¾Á¦ÌØÕ÷£¬£¬£¬£¬£¬£¬Îª·ÎÑ×¾«×¼ÕïÁÆÌṩÁËÒªº¦ÒÀ¾Ý¡£¡£¡£¡£¡£¡£

ÂÛÎÄÐû²¼½ØÍ¼
Ñо¿Åä¾°£ºÎªºÎÒªÍ»ÆÆ¡°ÎïÖÖˮƽ¡±£¬£¬£¬£¬£¬£¬¾Û½¹¾úÖê·ÖÐÍ£¿£¿£¿£¿£¿£¿£¿£¿
mNGSÒÀ¸½ÎÞÐè×÷Óý¡¢ÎÞÐèÔ¤É財ÔÌåµÄÓÅÊÆ£¬£¬£¬£¬£¬£¬³¹µ×¸Ä±äÁËÁÙ´²Î¢ÉúÎïѧÕï¶Ï[1,2]¡£¡£¡£¡£¡£¡£µ«´Ëǰ£¬£¬£¬£¬£¬£¬Ëü½öÄÜʵÏÖ¡°ÎïÖÖ¼¶¡±Åжϣ¬£¬£¬£¬£¬£¬ÄÑÒÔÕæÕýÖª×㾫׼ÕïÁÆÐèÇ󡣡£¡£¡£¡£¡£ÒÔ±«Âü²»¶¯¸Ë¾úÖÐÁÙ´²×îÊܹØ×¢µÄST208¾úÖêÓëÆäËû¾úÖ꣨ÈçST191£©ÎªÀý£¬£¬£¬£¬£¬£¬¶þÕßËäͬÊôÒ»¸öÎïÖÖ£¬£¬£¬£¬£¬£¬µ«²î±ð¾úÖêÔÚ¶¾Á¦¡¢ÄÍÒ©ÐÔ¼°ÖÎÁÆÕ½ÂÔÉϲî±ðÏÔÖø£¬£¬£¬£¬£¬£¬ÊÇ¡°ÎïÖÖ¼¶Åжϡ±ÎÞ·¨Çø·Ö£¬£¬£¬£¬£¬£¬ÐèÒÀÀµ¡°¾úÖê¼¶·ÖÐÍ¡±µÄµä·¶´ú±í¡£¡£¡£¡£¡£¡£Òò´Ë£¬£¬£¬£¬£¬£¬½«²¡ÔÌåÅжϴӡ°ÎïÖÖ¼¶¡±ÍÆÏò¡°¾úÖê¼¶¡±£¬£¬£¬£¬£¬£¬ÊÇÆÆ½âѬȾÐÔ¼²²¡ÕïÁÆÆ¿¾±µÄÒªº¦Ò»Ô¾£¬£¬£¬£¬£¬£¬¸üÊÇÖª×ãÁÙ´²¾«×¼ÓÃÒ©¡¢¸ÄÉÆ»¼ÕßÔ¤ºóµÄÆÈÇÐÐèÇó[3]¡£¡£¡£¡£¡£¡£
ΪÌî²¹ÁÙ´²¿Õȱ£¬£¬£¬£¬£¬£¬Ñо¿ÍŶÓÒÔ·ÎÑ×ΪÇÐÈëµã£¬£¬£¬£¬£¬£¬¾Û½¹±«Âü²»¶¯¸Ë¾ú¡¢·ÎÑ׿ËÀײ®¾úÁ½ÖÖ¿Ë¡½á¹¹ÇåÎúµÄÖ²¡¾úÕö¿ªÌ½ÌÖ[4,5]¡£¡£¡£¡£¡£¡£Í¨¹ý±ÈÕÕ×÷Óý·¨¡¢mNGS¡¢mTGSµÄ·ÖÐÍÐÔÄÜ£¬£¬£¬£¬£¬£¬Ö¤ÊµmNGSÊÇÄ¿½ñ×îÊÊÅäÁÙ´²µÄ¹¤¾ß£»£»£»£»£»½øÒ»²½ÓÃmNGSÆÊÎö185·ÝÖ§Æø¹Ü·ÎÅݹàÏ´Òº£¨BALF£©Ñù±¾£¬£¬£¬£¬£¬£¬·¢Ã÷¾úÖêˮƽ¹²Ñ¬È¾Õ÷Ï󣬣¬£¬£¬£¬£¬ÇÒ²î±ð¾úÖêµÄ¶¾Á¦¡¢ÄÍÒ©ÐÔ²î±ðÏÔÖø£»£»£»£»£»¶ÔÐò¹áBALFÑù±¾£¬£¬£¬£¬£¬£¬ÒÔ¼°Åä¶ÔµÄBALFºÍѪҺÑù±¾¾ÙÐеÄÑÇÐͽÏÁ¿ÆÊÎö£¬£¬£¬£¬£¬£¬½øÒ»²½×·×Ùµ½ÁË»¼Õ߸öÌåÄÚ¾úÖêˮƽµÄʱ¿Õת±ä¡£¡£¡£¡£¡£¡£ÕâЩ·¢Ã÷͹ÏÔÁ˽«¾úÖêˮƽÑÇÐÍÆÊÎöÄÉÈëͨÀýmNGSÕï¶ÏµÄÁÙ´²¼ÛÖµ¡£¡£¡£¡£¡£¡£
Ñо¿ÒªÁ죺¶àÊÖÒÕ±ÈÕÕ+´óÑù±¾ÑéÖ¤£¬£¬£¬£¬£¬£¬¹¹½¨¾úÖê·ÖÐÍ¿ò¼Ü

ͼ1. Ñо¿¼Æ»®
Ñо¿ÍŶÓÎ§ÈÆ¡°ÊÖÒÕÐÔÄܱÈÕÕ¡±ºÍ¡°ÁÙ´²ÌØÕ÷ÆÊÎö¡±Á½´ó½¹µã£¬£¬£¬£¬£¬£¬Éè¼ÆÁËÑϽ÷µÄÑо¿¼Æ»®£¨Í¼1£©¡£¡£¡£¡£¡£¡£ÍŶӻØÊ×ÐÔÍøÂçÁËÀ´×Ôº£ÄÚ3¼ÒÈý¼×Ò½ÔºµÄ185·Ý·ÎÑ×»¼ÕßµÄBALFÑù±¾£¨2020Äê9ÔÂ-2023Äê4Ô£©£¬£¬£¬£¬£¬£¬ÌØÊâѡȡÁË30·Ý×÷ÓýÑôÐÔµÄBALF/ѪҺÑù±¾£¨ÓÃÓÚmNGS vs. ×÷Óý·¨±ÈÕÕ£©¡¢30·ÝBALFÑù±¾£¨ÓÃÓÚmNGS vs. mTGS±ÈÕÕ£©¡£¡£¡£¡£¡£¡£
Ñо¿Ð§¹û£ºmNGSÓÅÊÆÏÔÖø£¬£¬£¬£¬£¬£¬¾úÖêÌØÕ÷ÖвØÒªº¦ÕïÁÆÐÅÏ¢
1¡¢mNGS vs. ×÷Óý·¨£ºCCË®ÖзÖÐÍ100%Æ¥Åä
ÔÚ15·Ý±«Âü²»¶¯¸Ë¾ú¡¢10·Ý·ÎÑ׿ËÀײ®¾úµ¥Ñ¬È¾Ñù±¾ÖУ¬£¬£¬£¬£¬£¬mNGSµÄ·ÖÐÍЧ¹ûÓë¡°ÏÈ×÷Óýϸ¾úÔÙ¶Ô¾úÂä¾ÙÐÐWGS¡¢×îºóÓöàλµãÐòÁзÖÐÍ£¨MLST£©¡±µÄЧ¹ûÍêȫһÖ¡£¡£¡£¡£¡£¡£
ͳһ·ÝÑù±¾ÌôÈ¡10¸ö¾úÂä²âÐò£¬£¬£¬£¬£¬£¬¾ùΪͳһÐòÁÐÐÍ£¨ST£©£¬£¬£¬£¬£¬£¬Ö¤ÊµmNGSµ¥Ñ¬È¾·ÖÐ͵Ŀɿ¿ÐÔ¡£¡£¡£¡£¡£¡£

ͼ2. mNGSºÍ×÷Óý·¨¶Ôϸ¾ú·ÖÐ͵ÄЧ¹û½ÏÁ¿
2¡¢mNGS vs. mTGS£ºmNGS¸ü¾«×¼¡¢¸üÎȹÌ
´ÓÊý¾ÝЧÂÊ¿´£¬£¬£¬£¬£¬£¬mNGSÄÜ»ñÈ¡µÄ×ÜreadsÊýÄ¿ÊÇmTGSµÄ35±¶£¬£¬£¬£¬£¬£¬²¢ÇÒÆäÖзÇÈËÔ´readsÕ¼±È½öΪmTGSµÄ1/20£¬£¬£¬£¬£¬£¬Êý¾ÝʹÓÃÂʸü¸ß¡£¡£¡£¡£¡£¡£
´Ó¼ì²âÄÜÁ¦¿´£¬£¬£¬£¬£¬£¬mTGSÊý¾ÝÖг¬°ëÊýreadsΪ¡°·ÇCCÌØÒìÐÔ¡±reads£¨ÎÞ·¨Çø·Ö¾úÖ꣩£¬£¬£¬£¬£¬£¬ÇÒ6·ÝÑù±¾ÒòÌØÒìÐÔreadsȱ·¦ÎÞ·¨·ÖÐÍ£¬£¬£¬£¬£¬£¬3·Ý¼ì³öÁÙ´²²»¿ÉÐŵÄCC£¨¡Ý3¸ö£©¡£¡£¡£¡£¡£¡£
ÒÔmNGSµÄЧ¹ûΪ»ù×¼£¬£¬£¬£¬£¬£¬mTGSÅжϹ²Ñ¬È¾µÄѸËٶȽö0.33£¬£¬£¬£¬£¬£¬×¼È·ÂÊ0.63£¬£¬£¬£¬£¬£¬Ô¶µÍÓÚmNGS¡£¡£¡£¡£¡£¡£

ͼ3. mNGSÓëmTGSÔÚϸ¾ú·ÖÐÍÖÐµÄÆÀ¹À
3¡¢ÁÙ´²¾úÖêÌØÕ÷£¬£¬£¬£¬£¬£¬¹Øºõ¾«×¼ÓÃÒ©
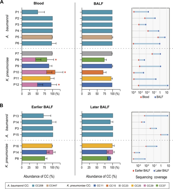
Á½ÖÖÖ²¡¾úµÄCCÂþÑÜ·ºÆðÏÔ×Ųî±ð£¬£¬£¬£¬£¬£¬±«Âü²»¶¯¸Ë¾úÖÐ94.92%ΪCC208£¨Ö÷µ¼¿Ë¡£¡£¡£¡£¡£¡£©£¬£¬£¬£¬£¬£¬·ÎÑ׿ËÀײ®¾úÔò³Ê¶àCCÂþÑÜ£¨CC11Õ¼24.29%¡¢CC29Õ¼18.57%£©¡£¡£¡£¡£¡£¡£
ͬʱ£¬£¬£¬£¬£¬£¬CCˮƽµÄ¹²Ñ¬È¾¼ì³öÂʽϸߣ¬£¬£¬£¬£¬£¬5.40%±«Âü²»¶¯¸Ë¾úÑôÐÔÑù±¾¡¢19.55%·ÎÑ׿ËÀײ®¾úÑôÐÔÑù±¾¾ù±£´æ´ËÀ๲ѬȾ¡£¡£¡£¡£¡£¡£
Ñо¿»¹·¢Ã÷£¬£¬£¬£¬£¬£¬Ï¸¾úµÄÄÍÒ©ÐÔÓë¾úÖêµÄCCÀàÐͱ£´æÏÔÖø¹ØÁª£¬£¬£¬£¬£¬£¬ÆäÖÐ34/35·ÝCC208Ðͱ«Âü²»¶¯¸Ë¾ú¡¢2/2·ÝCC11ÐÍ·ÎÑ׿ËÀײ®¾ú£¬£¬£¬£¬£¬£¬¾ù¶ÔÍ·æßËûड¢Ñǰ·ÅàÄϵȶàÖÖ¿¹ÉúËØÌåÏÖ³öÄÍÒ©ÐÔ¡£¡£¡£¡£¡£¡£
¾úÖêµÄCC×é³É»¹¾ßÓÐÏÔ×ŵÄʱ¿ÕÒ»ÖÂÐÔ£¬£¬£¬£¬£¬£¬²»µ«Åä¶ÔµÄBALFÓëѪҺÑù±¾ÖÐCC×é³É»ù±¾Ò»Ö£¬£¬£¬£¬£¬£¬ÔÚ6Àý»¼ÕßµÄÐò¹áÑù±¾ÖУ¬£¬£¬£¬£¬£¬Ò²ÓÐ5ÀýCCÀàÐÍ䱬·¢×ª±ä£¬£¬£¬£¬£¬£¬½ö1Àý´Óµ¥Ñ¬È¾Éú³¤Îª¹²Ñ¬È¾¡£¡£¡£¡£¡£¡£

ͼ4. BALFÑù±¾ÖеÄCCˮƽÂþÑÜ

ͼ5. ͳһ¸ö»¼ÕßÌåÄÚCC×é³ÉµÄ¿Õ¼äºÍʱ¼äÒ»ÖÂÐÔ
´ÓÊÖÒÕÍ»ÆÆ¹âÁÙ´²Ñо¿£¬£¬£¬£¬£¬£¬ÕâÏîÊÂÇé²»µ«Ê״νҿªÁ˲î±ðÊÖÒÕÒªÁì¶Ôϸ¾úÑÇÐÍÆÊÎöµÄÐÔÄܲî±ð£¬£¬£¬£¬£¬£¬¸üÒÔ±«Âü²»¶¯¸Ë¾úºÍ·ÎÑ׿ËÀײ®¾úΪÇÐÈëµã£¬£¬£¬£¬£¬£¬ÈþúÖêˮƽµÄѬȾͼ¾°ÇåÎú·ºÆð¡£¡£¡£¡£¡£¡£ËüÍ»ÆÆÁË¡°Ò»µ¶ÇС±µÄ¼ì²â¾ÖÏÞ£¬£¬£¬£¬£¬£¬Îª²î±ð²¡ÔÌå¡¢¼²²¡ÀàÐͺÍÑù±¾µÄmNGSÑÇÐÍÑо¿µÓÚ¨ÁË»ù´¡¡£¡£¡£¡£¡£¡£µ±ÍâµØÊý¾Ý¿â»ýÀ۵ľúÖêÌØÒìÐÔ¶¾Á¦ÓëÄÍÒ©ÐÅÏ¢£¬£¬£¬£¬£¬£¬ÄÜת»¯Îª¾«×¼ÓÃÒ©µÄµ¼º½£¬£¬£¬£¬£¬£¬µ±×÷ÓýÒõÐÔ»òÖØ´óºÏ²¢Ñ¬È¾µÄÄÑÌâ±»Öð²½ÆÆ½â£¬£¬£¬£¬£¬£¬mNGSÑÇÐÍÆÊÎöÕý´Ó¿ÆÑÐ̽Ë÷×ßÏòÁÙ´²¸ÕÐè¡£¡£¡£¡£¡£¡£
ÍÆ¶¯ÕâÏîÊÖÒÕÄÉÈëͨÀýʵ¼ù£¬£¬£¬£¬£¬£¬¼ÈÊǶÔÕï¶Ï׼ȷÐԵļ«ÖÂ×·Ç󣬣¬£¬£¬£¬£¬¸üÊǾ«×¼Ò½ÁÆÊ±´úÏ£¬£¬£¬£¬£¬£¬Îª»¼Õß´øÀ´¸öÌ廯ÖÎÁƼƻ®µÄÒ»¶¨Ñ¡Ôñ¡ª¡ªÈÃÿһ´Î¼ì²â¶¼¸üÓÐζȣ¬£¬£¬£¬£¬£¬Ã¿Ò»´ÎÖÎÁƶ¼¸ü¾ßµ×Æø¡£¡£¡£¡£¡£¡£
²Î¿¼ÎÄÏ×
[1] Simner PJ, Miller S, Carroll KC. Understanding the promises and hurdles of metagenomic next-generation sequencing as a diagnostic tool for infectious diseases. Clin Infect Dis. 2018;66:778¨C88.
[2] Gu W, Deng X, Lee M, Sucu YD, Arevalo S, Stryke D, et al. Rapid pathogen detection by metagenomic next-generation sequencing of infected body fluids. Nat Med. 2021;27:115¨C24.
[3] Frank C, Werber D, Cramer JP, Askar M, Faber M, An der Heiden M, et al. Epidemic profile of Shiga-toxin-producing Escherichia coli O104:H4 outbreak in Germany. N Engl J Med. 2011;365:1771¨C80.
[4] Gaiarsa S, Batisti Biffignandi G, Esposito EP, Castelli M, Jolley KA, Brisse S, et al. Comparative analysis of the two Acinetobacter baumannii multilocus sequence typing (MLST) schemes. Front Microbiol. 2019;10:930.
[5] Zhou H, Liu W, Qin T, Liu C, Ren H. Defining and evaluating a core genome multilocus sequence typing scheme for whole-genome sequence-based typing of Klebsiella pneumoniae. Front Microbiol. 2017;8:371.